همگرایی تابع به روز رسانی توزیعی قیمت
از بخش قبل می دانیم که یک گرهی رله ای نیاز دارد تا قیمت خود را پس از تغییر قیمت سایر گره های رله ای، تغییر دهد. در نتیجه برای هر

گرهی رله ای

،

خود را به روزرسانی می کند بنابر این مزیت

آن در معادلهی زیر صدق می کند:
این تساوی برقرار است اگر وتنها اگر

به مقدار بهینه برسد.
پس از بازچینی معادلهی (37) ما داریم:
برای محاسبهی

در معادلهی (38)، هر گرهی

به اطلاعات بازخوردی لحظه ای در مورد

و

که از گرهی منبع بوجود می آیند، توجه می کند که این ها شبیه به همان هایی است که برای تبادل اطلاعات در کنترل انرژی تکراری مورد نیاز است[28]. پس به روزرسانی قیمت های گره های رله ای می تواند بوسیلهی یک تساوی برداری در زیر تعریف گردد:
که در آن

است که

نشان دهندهی قیمت گرهی رله ای

، و

است که I_i (p) نشان دهندهی محدودیت رقابت قیمتی

نسبت به سایر گره های رله ای است. بنابراین برای

گرهی رله ای در گروه

با محدودیت های رقابتی در معادلهی (39)، میانکنش های به روزرسانی قیمت ها می تواند به صورت زیر بیان شود:
تفسیر. اگر K گرهی منبعی که با

نشان داده شوند، در شبکه موجود باشد، فرض کنید که قیمت گرهی رله ای

وقتی به گرهی منبعی

کمک می کند برابر

باشد (

انرژی مترادف آن است). سپس بازی مرحلهی خریدار برای هر گرهی منبعی

مانند موردی که یک گرهی منبعی بود، ضروری است. به هر حال بازی مرحلهی فروشنده پیچیده تر می شود زیرا اکنون گرهی رله ای

نیازمند انتخاب تعداد K قیمت(

) است تا مقدار بهره بری خود را ماکزیمم کند:
اگر گره های رله ای رفتار یکسانی با همهی گره های منبعی داشته باشند(برای

،

باشد)، گرهی رله ای

درخواست قیمت یکسانی(

) می دهند و این مهم نیست که کدام گرهی رله ای به گرهی منبع کمک کرده است. پس سودمندی

به صورت ساده عبارت است از:
و الگوریتم پیشنهادی هنوز کارایی دارد. که باید برای آن از تابع به روز رسانی قیمت اصلاح شده استفاده شود:
به هر حال اگر گره های رله ای به صورت متفاوت با گرهی منبع در تبادل باشند، پس هر یک از گره های رله ای

نیازمند قیمت به روزرسانی شدهی k

هستند. مانند زیر :
بنابراین اگر گره های چندگانه در شبکه وجود داشته باشد، الگوریتم پیشنهادی هنوز قابل استفاده است:
بازی مرحلهی خریدار برای هر گرهی منبعی به همان صورتی که برای یک گرهی منبعی تکی نیاز است، مورد نیاز است؛ تنها تغییر در بازی مرحلهی فروشنده گره های رله ای است که تابع به روز رسانی قیمتی برای این موارد بر طبق معادلات (43) و (44) است.
ما در آینده همگرایی میانکنش های موجود در معادلهی (40) را به وسیلهی اثبات این مسئله نشان می دهیم که تابع به روز رسانی قیمت I(p) یک تابع استاندارد است.
تعریف 2. یک تابع I(p) تابعی استاندارد است اگر برای تمام p≥0، خواص زیر صادق باشند:
قضیهی 2
تابع به روز رسانی قیمت I(p) یک تابع استاندارد است.
در منبع، یک اثبات بیان شده که در آن بردارهای ابتدایی امکان پذیر شروع شده است. بردار انرژی

پس از n بار تکرار الگوریتم کنترل انرژی بدست آمده که این بردار به سمت نقطه ای ثابت همگراست.همانگونه که در بخش قبلی مورد بررسی قرار گرفت، این طبیعی است که گره های رله ای

را به عنوان قیمت اولیه در نظر گیرند زیرا پایین رفتن

زیر مقدار

باعث تولید بهره وری

منفی می شود در حالی که با تنظیم

در بالای

گرهی رله ای

ممکن است در خطر کنارگذاشتگی بوسیلهی گرهی منبع در همان ابتدای کار باشد.بنابراین ما فرض می کنیم که بردار قیمت اولیه برابر

است. تکرار به روزرسانی قیمت های استاندارد یک توالی غیرکاهشی از بردارهای قیمتی

بوجود می آورد که به نقطهی یکتای

همگرا هستند.
از رابطهی (37) ما می دانیم که برای گرهی رله ای

، سودمندی

در رابطهی

برای هر زمان بعد ازاینکه

قیمتش را به روز ذرسانی می کند، صادق است. پس از آنکه بردار

به

همگرا شد، هیچ رله ای نمی تواند بیش تر از سودمندی بیش تر را با تغییر قیمتش بوجود آورد و این بدین معناست که برای

،

است.از (27) و (28) ما می دانیم که

دقیقا بردار قیمت بهینه است. همانگونه که خاصیت 1 نشان می دهد،

در

محدب است بنابراین گرهی منبع می تواند به تدریج انرژی را از صفر افزایش دهد و مقدار بهینهی

را پیدا کند. از این رو اگر قیمت های تمام گره های رله ای انتخابی به مقدار بهینهی شان همگرا باشند، پس گرهی منبع به همان نسبت انرژی بهینه خریداری می کند. بنابراین یک بار دیگر می گوییم که

به

همگراست،

و

به SE همگرا هستند. این بد نیست که بگوییم اگرچه حل های حالت بستهی

در معادلهی (25) و

در معادلهی (28) تابع CSI هستند؛ در اجرای عملی بازی، گر هی منبع می تواند مقدار بهینهی انرژی را با افزایش تدریجی انرژی خریداری شده از هر یک از گره های رله پیدا کند و این افزایش تدریجی انرژی خریداری شده تا جایی ادامه یافته که

به دلیل خاصیت 1 به مقدار ماکزیمم خود برسد. در واقع دلیلی که ما حل شکل بستهی معادلهی

را به عنوان تابع CSI در نظر گرفتیم این است که نشان دهیم که سودمندی گره های رله ای

به

همگرا هستند( خاصیت 3). و از این رو اثبات می شود که گره های رله ای می توانند از الگوریتم به روز رسانی قیمتی پیشنهاد شده استفاده کنند و به طور تدریجی به قیمت بهینهی

همگرا شوند( قضیهی 2). از این رو تنها علامت های میان یک گرهی رله ای منفرد و گرهی منبع قیمت های لحظه ای و انرژی نظیر با آن است و هیچ CSI ی نیاز نیست.علاوه بر این هیچ تبادل اطلاعاتت قیمتی میان گره های رله وجود ندارد. بنابراین بازی پیشنهادی توازن خود را به روش توزیعی با اطلاعات محلی بدست می آورد.
مقایسه با روش بهینهی متمرکز
برای بیان کارایی بخش تئوری روش بازی پیشنهادی، ما در ابتدا یک مسئلهی تخصیصی انرژی بهینهی متمرکز را با راه حل های به شکل بسته مورد بررسی قرار می دهیم و سپس مقایسهی عددی کاربری را در فصل بعد بیان می کنیم.
فرض کنید که منابع سیستمی بوسیلهی تمام N گره رله ای موجود در اشتراک باشند. همچنین باید گفت ما می توانیم مسئلهی تخصیصی انرژی بهینهی متمرکز را به صورت زیر بنویسیم:
که

در معادلات (3) و (8) به ترتیب تعریف شدند.
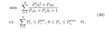
به دلیل آنکه

یک تابع افزایشی اکید از x است، تابع هدف (45) را بازآرایی می کنیم. و بواسطهی این کار یک مسئلهی بهینه سازی هم ارز بدست می آوریم.
که

هستند
حل معادلهی (46) می تواند به صورت زیر باشد:
که λ یک ثابت انتخابی است که در برگیرندهی کل محدودیت های کلی انرژی است و

به صورت زیر تعریف می گردد:
برای انجام یک مقایسهی منصفانه در تئوری روش بازی پیشنهادی، ما می توانیم a ( دریافت بر واحد نرخ ) را تغییر دهیم. تا به طور معادل تفاوت محدودیت های

را در روش متمرکز بیان کنیم. این دلیل در زیر آورده شده است: وقتی a بسیار بزرگ باشد، پرداخت کلی M در U_s ناچیز است

؛ پس مصرف بهینهی انرژی مسئله در رابطهی(13) برابر

است. در روش متمرکز وقتی

باشد مسئله موازنه است. برعکس وقتی a بسیار کوچک باشد، پرداخت کلی نرخ

ناچیز می شود(

؛ پس در این مورد

است. در روش تمرکزی

یعنی مسئله موازنه است. بنابراین با تغییر a در گسترهی وسیع ما می توانیم نرخ های بهینهی قابل دسترسی که موجب پدید آمدن مصرف انرژی کلی متفاوت می شوند را بدست آوریم و بتوانیم به طور منصفانه کارایی این دو روش را مقایسه کنیم.
به هر حال روش تخصیص انرژی بهینهی متمرکز نیازمند پردازش و علامت دهی قابل توجهی است زیرا این کار نیازمند این است که CSI کامل شود یعنی

موجود باشند.در فصل بعد ما نشان می دهیم که روش توزیعی پیشنهادی ما می تواند کارایی قابل مقایسه ای داشته باشد در حالی که تنها علامت دهی های میان گرهی منبع و گره های رله ای تنها اطلاعاتی در مورد قیمت ها و مصرف انرژی ها را انتقال می دهد.
نتایج شبیه سازی و تحلیل
برای ارزیابی کارایی روش پیشنهادی در ادمه نتایج حاصل از شبیه سازی یک مورد تک رله ای، دو رله ای و چند رله ای آورده شده است. سپس ما مقایسهی کارایی روش پیشنهادی با روش متمرکز ارائه کرده ایم. در نهایت ما در مورد اثرات فاکتور پهنای باند صحبت می کنیم.
مسئله یتک رله ای
در اینجا یک زوج متشکل ازگره های مسافتی و منبعی(s,d) وجود دارد و تنها یک گرهی منبعی r در شبکه موجود می باشد. گرهی مسافتی (d) در مختصات(0m, 0m) یافت می شود و گرهی منبع (s) در مختصات(100m, 0m) قرار دارد.ما مختصات y را برای گره های رله ای در25m ثابت کردیم و تغییر مختصات x آن در گسترهی [-250 m, 300 m] است. فاکتور اتلاف انتشار ( propagation loss factor) در 2 تنظیم شده است. انرژی انتقال یافته عبارت است با:

. مقدار نویز( noise level) نیز برابر:

. و ما گاف ظرفیت را برابر 1 قرار دادیم(Γ=1)، W=1 MHz ، منفعت بر واحد انرژی نیز عبارت است از: c=0.2. در شکل 1a، ما قیمت بهینه برای هر گرهی رله ای r و انرژی بهینه خریداری شده بوسیلهی گرهی منبع s را نشان دادیم. در این شبیه سازی گرهی رله ای r در طی خط حرکت می کند. ما مشاهده کردیم که وقتی گرهی رله ای r نزدیک گرهی منبع است ( درm 100،m 0 )، منبع می تواند

بالاتری در بازی بدست آورد و بدین وسیله رله می تواند به طور مطلوب تری به کرهی منبع کمک کند. به هر حال رله نمی تواند به دلخواه قیمت خود را تعیین کند و بتواند بدین وسیله امکاناتش را بهبود دهد. همانگونه که در خاصیت 2 و 3 نشان دادیم، انرژی بهینهی P_r^* که منبع از گرهی رله خریداری می کند با

کاهش می یابد و منفعت

در p محدب است. به دلیل آنکه هدف گره رله ای ماکزیمم کردن منفعت خود

است، باید به جای ارقام بالا، قیمت p به دقت انتخاب گردد. همین طور که کاهش قیمت p می تواند خرید بیشتری از منبع را موجب شود، گرهی رله ای r قیمتش را کاهش می دهد تا میزان منفعت U_r را بالا ببرد.وقتی گرهی رله ای r حرکت کرده و به نزدیکی گرهی مسافت (d) در (0 m, 0 m) می رسد، گرهی رله ای r می تواند مقدار کمی انرژی برای رله کردن داده های گرهی منبع مصرف کند، پس گرهی رله ای r یک قیمت بالا را به وسیلهی فروش این مقدار کم انرژی و برای افزایش منفعت ، تنظیم می کند. به هر حال حتی اگر قیمت بالاتر از حالتی باشد که به منبع نزدیک است، منفعت U_r هنوز از وقتی که رله به مقصد خود چسبیده است، کمتر است. وقتی گرهی رله ای r حرکت خود را به سمت خارج از گرهی هدف(d) ادامه دهد، گرهی منبع s خرید سرویس ها را متوقف می کند زیرا ادامهی درخواست و کمک از گرهی رله ای دیگربرای گرهی منبع اقتصادی نیست. به طور مشابه وقتی گرهی رله ای r در جهت عکس حرکت کند و در نقطهی دوری از گرهی منبع قرار گیرد، گرهی منبع دوباره خرید را از گره های رله قطع می کند.
در شکل 1b ، ما به ترتیب منافع بهینهی گرهی رله ای r و گرهی منبع s که می توان با استفاده از بازی پیشنهادی بدست آورد را نشان دادیم.وقتی گرهی رله ای r نزدیک گرهی منبع s است، هر دو گره ماکزیمم منفعت را دارا می باشند.دلیل این امر این است که در اطراف این محل گرهی رله ای r می تواند به بهترین حالت گرهی منبع را یاری کند و سودمندیش را افزایش دهد. همچنین قیمت بهینهی گرهی رله ای در این حالت پایین تر از حالتی است که r در جاهای دیگر است.بنابر این گرهی منبع s انرژی بیش تری می خرد که این امر موجب افزایش سودمندی گرهی رله ای r می شود.
مسئلهی دو رله ای
ما همچنین از شبیه سازی های برای مسئلهی 2 رله ای استفاده کردیم و بدین وسیله بازی پیشنهادی را امتحان کردیم. در این شبیه سازی مختصات s و d به ترتیب عبارتند از: (100 m, 0 m) و(0 m, 0 m). گرهی رله ای r_1 در مختصات (50 m, 25 m) ثابت شده است. و گرهی رله ای

در طول خط بین مختصات های (-250 m, 25 m) و (300 m, 25 m) در حرکت است. برای هر

ما c_i=0.1 قرار دادیم. دیگر تنظیمات مانند همان هایی است که در مسئلهی تک رله ای در مورد آنها بحث کردیم.
در شکل 2 ما می توانیم مشاهده کنیم که اگر چه تنها

حرکت می کند، قیمت های هر دو گرهی رله ای تغییر می کند. و s مقادیر مختلفی از انرژی را از آنها خریداری می کند. این حقیقت به این دلیل است که در بازی پیشنهادی، گره های رله ای بر همدیگر تأثیر می گذارند و با هم رقابت می کنند. رمانی که گرهی رله ای

در نزدیکی d ( در مختصات (0 m, 0 m)) قرار دارد، این گره قیمت بالایی را همانند مسئلهی تک رله ای درخواست می کند با توجه به این مسئله ، r_1 قیمتش را افزایش می دهد و

اندکی کاهش می یابد. وقتی

در نزدیکی s و در مختصات (100 m, 0 m) قرار دارد،

برای کمک به s از r_1 مناسب تر است وU(

)^* بسیار بالاست. از این رو برای اینکه منبع s برای خرید خدمت جذب شود، r_1 قیمتش را بسیارکاهش می دهد اما

هنوز کاهش می یابد. به دلیل آنکه نزدیک s است در نتیجه می تواند کمک مفیدتری را از گره های رله به s دهد. هر دو مقدار

و M در حدود این مکان به مقدار ماکزیمم خود می رسند. وقتی

از s و یا d دور می شود، قیمت

کاهش می یابد زیرا

توان رقابتی کمتری نسبت به r_1دارد. وقتی سودمندی کمتراز صفر باشد،

از رقابت خارج شده و

می شود. در آن لحظه، r_1 می تواند اندکی قیمتش را افزایش دهد زیرا هیچ رقابت دیگری در کار نیست. به هر حال گرهی منبع s از r_1 اندکی انرژی کمتر می خرد. این حقیقت، محرک r_1 برای پاسخ دهی به قیمت بالای را در غیاب رقیب خنثی می کند. در غیر این صورت

دوباره به رقابت باز می گردد. در نقطهی انتقال، وقتی

از رقابت خارج می گردد،

مقداری متوسط است.توجه کنید که وقتی

به (50 m, 25 m) حرکت می کند( به همان مکانی می رود که r_1 قرار دارد)، مصرف انرژی، قیمت و سودمندی برای هر دو رله یکسان است. این بدان دلیل است که گرهی منبع تفاوتی میان آن دو گره رله قائل نشده و هر دو را یکسان در نظر می گیرد.
مسئلهی چند رله ای
ما سپس شبیه سازی چند رله ای را انجام دادیم و بوسیلهی آن بازی پیشنهادی را آزمودیم. مختصات گرهی منبع گرهی مسافت به ترتیب عبارت اند از: (100 m, 0m) و (0 m, 0 m). و گره های رله ای به طور یکسان در گسترهی فاصله ای [-50 m, 150 m] بر روی محور x و گسترهی فاصله ای [0 m, 20 m] قرار گرفتند. در شکل 3 ما می توانیم مشاهده کنیم هنگامی که تعداد کلی گره های رله ای موجود افزایش می یابد، رقابت میان گره های رله ای سخت تر می شود از این رو قیمت میانگین بر واحد گرهی رله ای کاسته می شود. گرهی منبع مقدار متوسط انرژی خریداری شده را در هنگامی که تعداد گره های رله ای بسیار زیاد نیست( کمتر از 3 تا)، افزایش می دهد زیرا قیمت میانگین کاهش یافته است. وقتی تعداد گره های رله ای بزرگتر شود(بیش از 3 تا)، گرهی منبع مقدار انرژی متوسط خریداری شده را کاهش می دهد زیرا آن انرژی را از گره های رله ای بیشتری می خرد. همانطور که پرداخت های کلی برای گره های بیشتر تقسیم می شود. بنابراین گره منبع با افزایش سودمندی همراه می شود.
سرعت همگرایی بازی پیشنهادی
همانطور که در بخش 3.4 توضیح داده شد، گره های رله ای پس از آنکه تعداد

تااز آنها بوسیلهی گرهی منبع انتخاب شدند، شروع به افزایش قیمت هایشان (

) از

می کنند. بردار قیمت آنها در زمانt برابراست با:

. از معادلهی (25) می فهمیم که مقدار انرژی بهینهی خریداری شده بوسیلهی گرهی منبع در زمان t می تواند به صورت زیر بیان گردد:
برای بدست آوردن

و به روز رسانی قیمت هایشان، گره های رله ای انتخاب شده در یک زمان هر یک از p_i (t) ها را به اندازهی δ_i افزایش می دهند. گرهی منبع این قیمت را دریافت کرده و (∂P_(r_i)^*)/(∂p_i ) رابا استفاده از رابطهی زیر محاسبه می کند:
علامت های تقریبی بالا از گره منبع را در معادلهی(38) جایگذاری می شود که صورت کسر

(t) در معادلهی(49) تعریف شده است گره های رله ای می تواند P(t+1)=I(p(t)) را نتیجه دهند.
در فرایند به روز رسانی بالا، گرهی منبع می تواند مقدار تقریبی مشتقات را به وسیلهی معادلهی (50) برای همهی گره های رله ای در یک زمان و بدون نیاز به تکرار یک به یک محاسبه کند. بنابراین این فرایند می تواند به عنوان یک تکرار دیده شود که به تعداد گره های رله بستگی ندارد. پس ما وقتی شبیه سازی ها را انجام می دهیم که دو با چهار گرهی رله ای برای کمک کردن به گرهی منبع و مشاهدهی رفتار همگرایی بازی پیشنهادی وجود داشته باشد. در شکل 4a این دیده می شود که این روش پیشنهادی همگرایی با سرعت بالایی به سمت SE، p^* دارد. این در کمتر از 15تکرار انجام می شود تا اینکه بردار قیمت p به مقدار بهینهی خود همگرا گردد( وقتی دو گره در سیستم وجود داشته باشد که در این حالت a=1 ( a بیان کنندهی دریافت بر واحد نرخ است که پس از 10 باز تکرار برای a=0.2 است). علاوه بر این در شکل 4b رفتار همگراییR_(s,r,d) برای بهینه سازی نرخ انتقال با استفاده ازP_r^* و p^* به نظر سریع می باشد( اکسپوتنسیالی است.).در نهایت ما a=1 ثابت قرار دادیم و تعداد گره های رله ای را به سه و چهار افزایش دادیم و نشان دادیم که رفتار همگرایی قیمت ها در شکل های 4c و 4d به ترتیب چگونه است.ما می توانیم ببینیم که تعداد تکرارها در هنگامی که گره های بیش تری در سیستم موجود است، تقریبا ثابت است.
مقایسه با روش بهینه سازی متمرکز
برای مقایسه کارایی بازی ارائه شده با روش متمرکز ما دو شبیه سازی به صورت زیر انجام دادیم:
دو گرهی رله ای وجود دارد که تشکیل یک زوج مرتب (s,d) را می دهند. یکی از گره های رله ای در مختصات (50 m, 25 m) ثابت شده و دیگری در دو شبیه سازی به ترتیب در مختصات های (60 m, 25 m) و (40 m, 25 m) قرار می گیرد. برای روش متمرکز در معادلهی(45)، ما

قرار داده و اجازا دادیم تا

در گسترهی[ 10,20] mW تغییر کند.سپس ما می توانیم یک منحنی از نرخ های ماکزیمم به محدودیت های مصرف انرژِ کلی بدست آوریم. برای روش توزیعی، همانگونه که در بخش قبلی توضیح دادیم، با تغییر a و وجود همان محدودیت های قبلی، ما می توانیم همچنین مصرف انرژی کلی متفاوت و نرخ های ماکزیمم مربوطه را بدست آوریم.در شکل های 5a و 5b ما مشاهده کردیم که بازی پیشنهادی تحت مصرف انرژی یکسان، نرخ هایی مشابه با روش متمرکز بوجود می آورد.
اثر فاکتور پهنای باند
همانگونه که در بخش قبلی توضیح داده شد، برای شبکه های با محدودیت پهنای باند، پهنای باند باسد در بین گرهی منبع و گره های رله ای تقسیم گردد. اگر

از تعداد N گره های رله ای موجود ( انتخاب شده بوسیلهی گرهی منبع)بیشتر باشد، پس در معادلهی ( 10 )،

می شود که این مسئله تأیید کنندهی این است که فاکتور پهنای باند در زمانی که گره های رله ای گره منبع را یاری می کنند، کاهش می یابد. بنابراین استفادهی کمتر گره های رله ای ممکن است باعث افزایش زیاد U_s برای گرهی منبع شود.بنابراین برای شبکه های با محدودیت پهنای باند، این کافی نیست که گره منبع تنها یک تعداد از رله ها را انتخاب کند.در عوض پس از آنکه گرهی منبعی s گره های رله ای N^' را با استفاده از معیارهای کنارگذاشتن رله انتخاب می کند، s به طور مداوم تلاش می کند تا زیرگروهی از N^' را انتخاب کند که
U_s^* برای هر آزمایش بهینه باشند و زیرمجموعه ای از گره های رله ای را انتخاب می کند که باعث تولی
U_s^* بزرگتری شوند. در این بخش ما شبیه سازی هایی برای مشاهدهی اثر تغییر فاکتور پهنای باند انجام دادیم.
ما a=0.85 در نظر گرفتیم، گرهی رله ای r_1 در مختصات ( 100 m, 5 m) و گرهی رله ای

در طول خط میان مختصات های (-250 m, 5 m) و (300 m, 5 m) در حرکت است. در شکل 6 ما مشاهد کردیم که U_s^* ایجادی بوسیلهی گرهی منبع تحت 4 سناریو بدست می آید.یعنی وقتی که هیچ گرهی رله ای، گرهی رله ای

، گرهی رله ای r_1 و یا هر دوی آنها برای کمک مهیا باشند. ما می بینیم که وقتی

به سمت r_1 و گرهی منبعی s حرکت کند( یعنی محور x خطوط

درفاصلهی تاکتیکی)، هر دو
r_1 و

برای گرهی s سودمند هستند.علاوه بر این همانگونه که مورد مسئلهی چند رله ای در بخش 4.3 توضیح داده شد، رقابتی میان دو گره رله ای وجود دارد. میانگین انرژی بوجود آمده از گرهی رله ای در مقایسه با مسئلهی تک رله ای بسیار زیادتر است در حالی که میانگین پرداخت پایین تر است. از این رو اگر چه

تنها 1/3 است اما برای i=1, 2،

هنوز از

بزرگتراست و هر دو گرهی رله ای انتخاب می شوند. وقتی

از s دور می شود، از

مزیت کمتری پیدا کرده و درخواست قیمت بالاتری می کند. بنابراین

کاسته شده و کوچکتر از U_s می شود که در آن

برابر ½ است. بنابراین انتخاب r_1 به تنهایی بهتر از انتخاب هر دو گرهی رله ای است.وقتی

از s دور شود، مزیت های استفادهی s از آن از بین می رود. از این رو

کنارگذاشته می شود و فاکتور پهنای باند از 1/3 به ½ تغییر می کند. بنابراین دو پستی و بلندی

وقتی مختصات x

تقریباm 70 m , 140 است.
نتیجه گیری
در این مقاله ما یک روش تئوری بازی برای تخصیص منبع توزیعی در شبکه های ارتباطاتی چند کاربره پیشنهاد کردیم. هدف ما پاسخ گویی به دو سوال است: در چه چیزی باید از رله استفاده شود؟ و چه میزانی از انرژی برای رله ها نیاز است تا بوسیلهی آن انتقال در ارتباط مشارکتی ایجاد شود؟ ما از یک بازی استراکبرگ برای برسی مزایای گرهی منبع و گره های رله ای استفاده کردیم. روش پیشنهادی نه تنها به گره منبع کمک می کند تا گره های بهبنه را انتخاب کند، بلکه همچنین کمک می کند تا گره های رله ای درخواست قیمت بهینه را داشته باشند و سودمندی را ماکزیمم کنند. با توجه به نتایج شبیه سازی، گره های رله ای نزدیک تر به گرهی منبع می توانند نقشی مهم در افزایش سودمندی گرهی منبع داشته باشند از این رو گرهی منبع انرژی بیش تری از این گره های رله ای انتخاب شده می خرد.اگر تعداد کل گره های رله ای موجود افزایش یابد، گره منبع می تواند ارقام سودمندی بالاتری بدست آورند و پرداخت میانگین به گره های رله ای کاسته می شود زیرا میزان رقابت گره های رله ای افزوده شده است. این مسئله همچنین نشان داده شد که تخصیص منبعی توزیعی می تواند کارایی قابل قیاسی با روش متمرکز داشته باشد( بدون آنکه نیازمند اطلاعات CSI باشد). شبکهی بر اساس روش پیشنهادی ما می تواند تعمیم داده شود وبه عنوان یکی از یک رکن اساسی در شبکه های وایرلس و hoc مورد استفاده قرار گیرد و بواسطهی آن مشارکت در میان گره های توزیعی رونق یابد.
استفاده از مطالب این مقاله با ذکر منبع راسخون، بلامانع می باشد.