مقدمه ای بر مفاهیم پلیمریزاسیون (3)

نام گذاری بر پایه ی نام های تجاری برای برخی از پلیمرها، استفاده می شود. اگر چه نام های تجاری نباید زیاد مورد استفاده قرار گیرند، باید با این نام ها آشنا باشیم تا در صورت برخورد با انها، دچار گیج شدگی نشیم.
يکشنبه، 11 تير 1396
تخمین زمان مطالعه:
پدیدآورنده: علی اکبر مظاهری
موارد بیشتر برای شما
مقدمه ای بر مفاهیم پلیمریزاسیون (3)
مقدمه ای بر مفاهیم پلیمریزاسیون (3)

مترجم: حبیب الله علیخانی
منبع:راسخون
 

نام های تجاری

نام گذاری بر پایه ی نام های تجاری برای برخی از پلیمرها، استفاده می شود. اگر چه نام های تجاری نباید زیاد مورد استفاده قرار گیرند، باید با این نام ها آشنا باشیم تا در صورت برخورد با انها، دچار گیج شدگی نشیم. یک مثال از نامگذاری تجاری، استفاده از نام نایلون، برای پلی آمید تولید شده از مونومرهای بدون جایگزینی، بدون شاخه و آلیفاتیک، می باشد. دو عدد به واژه ی نایلون اضافه می شود. اولین عدد نشاندهنده ی تعداد گروه های متیلن در بخش دی آمین پلی آمید است و عدد دوم، تعداد کربن در بخش دی آکیل است. بنابراین، پلی (هگزامتیلن آدیپامید) و پلی (هگزامتیلن سبکک آمید) در حقیقت به ترتیب، بیان کننده ی نایلون 6/6 و نایلون 6/10 است. انواع مختلفی از نام ها به طور متداول، مورد استفاده قرار می گیرند. مثلا نایلون 66، 66 نایلون، نایلون 6/6، نایلون 6،6 و نایلون 6-6. پلی آمیدهای بدست آمده از مونومرهای منفرد با یک عدد منفرد بیان می شوند که این عدد نشاندهنده ی تعداد اتم های کربن موجود در واحد تکراری است. پلی (کاپرولاکتام) یا پلی (6- آمینوکاپروییک اسید) نایلون 6 است.
در بسیاری از موارد، نامگذاری تجاری پلیمرها، اطلاعات اندکی در مورد ساختار پلیمر، ارائه می دهد. در حقیقت، بسیاری از پلیمرهای تراکمی، دارای این نام ها نیستند. بنابراین، پلیمرهای بدست آمده از پلیمریزاسیون مرحله ای فرمالدهید و فنول، اغلب پلیمر فنول- فرمالدهید، رزین فنول- فرمالدهید و رزین فنولیک و فنوپلاستیک، نامیده می شود. پلیمرهای مشتق شده از فرمالدهید و سایر آلدهیدها با اوره یا ملامین، عموماً به عنوان آمینو رزین ها یا آمینوپلاستیک ها، نامیده می شود، بدون وجود نام خاص تر. این مشکل است که تعیین کنیم که کدام مونومر آلدهید و یا آمینو، برای سنتز یک پلیمر، خاص استفاده شده است و در واقع، این نام، چیزی در مورد ساختار آمینورزین نمی دهد. نامگذاریهای خاص تر، تنها نشاندهنده ی عوامل واکنش دهنده می باشند مانند رزین اوره- فرمالدهید یا رزین ملامین- فرمالدهید.
یک وضعیت مشابه در نام گذاری بسیاری از پلیمرهای دیگر، مشاهده می شود. بنابراین، پلیمر تولید شده از RCU شماره ی XXVII، عموماً به عنوان "پلی کربونات مشتق شده از بی فنول A" و یا پلی کربنات، نامیده می شود. نام IUPAC این پلیمر، پلی (اکسی کربونیل اکسی -1و 4 فنیلن دی متیل متیلن – 1و 4 فنیلن) می باشد.
مقدمه ای بر مفاهیم پلیمریزاسیون (3)

پلیمرهای خطی، شاخه دار و با پیوند عرضی

پلیمرها می توانند به عنوان پلیمرهای خطی، شاخه دار و با پیوند عرضی، طبقه بندی شوند. این مسئله به ساختار آنها وابسته است. در بحث قبل، در مورد انواع مختلف پلیمرها و فرایند پلیمریزاسیون هایی صحبت کردیم که پلیمرهای خطی بودند. تحت شرایط واکنشی خاص و یا انواع مختلف مونومرهای پلیمری، می توانیم پلیمرهای مختلفی بدست آوریم.
پلیمرهای شاخه دار، پلیمرهایی هستند که دارای بیش از دو انتها در زنجیره ی مولکولی خود هستند. این ویژگی موجب می شود تا پلیمریزاسیون هم به صورت مرحله ای و هم به صورت زنجیره ای انجام شود. مولکول پلیمرهای شاخه دار به گونه ای هستند که شاخه های جانبی بر روی مولکول ایجاد می شود. این زنجیره های جانبی در کنار زنحیره های پلیمری قرار دارد. تفاوت میان شکل مربوط به مولکول های پلیمری شاخه دار و خطی، با مشاهده ی شکل 1، قابل لمس می شود. نقاط شاخه دار بوسیله ی نقاط تو پر، نشان داده شده است. این نمایش، نشان می دهد که چندین نوع مختلف از پلیمرهای شاخه دار، وجود دارد. پلیمرهای شاخه دار می توانند به صورت شانه مانند (نوع A با شاخه های طولانی و نوع B با شاخه های کوتاه) می باشد. وقتی شاخه های زیادی وجود داشته باشد، پلیمر می تواند دارای ساختاری دندریتی باشد که در آن، شاخه های جدید از شاخه های قبلی ، متولد می شوند. این مورد در شکل 1c نشان داده شده است. وجود شاخه در این پلیمرها، معمولا اثر قابل توجهی بر روی خواص مهم پلیمر دارد. مهم ترین تغییر خاصیت ایجاد شده در واقع به دلیل شاخه دار شدن ایجاد می شود و این شاخه دار شدن، موجب کاهش کریستالینیتی می شود. پلیمرهای شاخه دار به سهولت و به دلیل ممانعت فضایی، متراکم نمی شوند.
این مهم است که اشاره کنیم که پلیمرهای شاخه دار، برخلاف گروه های جانبی، بخشی از ساختار مونومری هستند. تنها این پلیمرها که حاوی شاخه های جانبی هستند، از واحدهای مونومری کامل تشکیل شده اند که پلیمرهای شاخه دار نامیده می شوند. بنابراین، پلی استیرن XXVIII به عنوان پلیمر خطی تلقی می شود و به عنوان یک پلیمر شاخه دار، محسوب نمی شود.
مقدمه ای بر مفاهیم پلیمریزاسیون (3)
علت این مسئله این است که گروه های فنیلی بخشی از واحد مونومر محسوب می شوند و به عنوان شاخه محسوب نمی شوند. پلی استرهای شاخه دار پلیمرهای مشتق شده از مونومر XXIX هستند که در آنها، یکی از بخش ها، یک یا چند شاخه پلی استایرنی دارد که از زنجیره ی اصلی پلی استایرن خطی اصلی، مشتق شده است.
مقدمه ای بر مفاهیم پلیمریزاسیون (3)
وقتی این پلیمرها تولید می شوند، مولکول های پلیمری به همدیگر و در نقاطی به غیر از انتهای آنها، به هم متصل می شوند و بدین صورت، پیوند عرضی تشکیل می دهند (شکل 1). ایجاد پیوند عرضی می تواند در طی پلیمریزاسیون رخ دهد. البته این واکنش می تواند پس از پلیمریزاسیون نیز، اتفاق افتد. ایجاد پیوند عرضی بین زنجیره های پلیمری می تواند با فواصل مختلف انجام شود. این مسئله به روش ایجاد پیوند عرضی و همچنین شرایط خاص وابسته می باشد. همچنین تعداد پیوند عرضی نیز متفاوت است و می توان پلیمر با پیوند عرضی بالا و پلیمر با پیوند عرضی کم، بدست آورد. وقتی تعداد پیوند عرضی به طور مناسبی بالا باشد، یک ساختار پلیمری سه بعدی یا شبکه ی فضایی تشکیل می شود که در آن، زنجیره ی پلیمری به سادگی با همدیگر پیوند داده و تشکیل یک مولکول قول پیکر را داده اند. پیوند عرضی با دانسیته ی پایین موجب می شود تا خاصیت الاستیک خوبی به پلیمر داده شود و پلیمر، به عنوان یک رابر، مورد استفاده قرار گیرد. دانسیته ی بالای پیوند عرضی موجب می شود تا پلیمر به صورت صلب در آید و پایداری ابعادی آن، فوق العاده باشد. از جمله ی پلیمرهای با پیوند عرضی می توان، به فنول- فرمالدهید و اوره- فرمالدهید اشاره کرد.

وزن مولکولی

وزن مولکولی یک پلیمرف در حقیقت، یکی از مسائل بسیار مهم در سنتز پلیمرها و استفاده از پلیمرها، به شمار می آید. شیمیدان ها معمولا از واژه ی وزن مولکولی برای توصیف اندازه ی یک مولکول، استفاده می کنند. عبارت دقیق تر جرم مولکولی معمولا به صورت واحد گرم بر مول، بیان می شود. وزن مولکولی در حقیقت، نسبت جرم متوسط بر واحد فرمولی یک ماده تقسیک بر یک دوازدهم جرم یک اتم کربن 12 می باشد. این وزن، یک کمیت بدون بعد است. در این مقاله، وزن مولکولی صرفنظر از واحد در نظر گرفته می شود و به جای جرم مولکولی، بیان می شود زیرا وزن مولکولی عبارت آشناتری برای مهندسین شیمی و متخصصین شیمی است.
خواص مکانیکی و مورد نظر که مربوط به مواد پلیمری می شوند، در واقع نتیجه ای از وزن مولکولی بالای این مواد می باشد. خواص مکانیکی مهم یک ماده ی پلیمری، به طور قابل توجهی به وزن مولکولی آن وابسته می باشد (شکل 2). یک وزن مولکولی مینیمم وجود دارد (A) که معمولاً خواص ماده به این دما، وابسته می باشد. در بالای این میزان از وزن مولکولی، استحکام ماده به سرعت با افزایش وزن مولکولی، افزایش می یابد. این مسئله ادامه می یابد تا زمانی که وزن مولکولی به نقطه ی B برسد. استحکام مکانیکی در بالای نقطه ی B به کندی افزایش می یابد تا جایی که وزن مولکولی به مقدار C برسد. نقطه ی بحرانی B عموماً مربوط به وزن مولکولی مینیمم مربوط به پلیمر است و از این نقطه به بعد، استحکام مناسبی در ماده ی پلیمری ایجاد می شود. وزن مولکولی مناسب و مینیمم (B) عموماً در گستره ی 5000 تا 10000 قرار دارد. نمودار شکل 2 عموما به سمت راست حرکت می کند وقتی میزان نیروهای بین مولکولی کاهش می یابد. ، زنجیره های پلیمری با نیروهای بین مولکولی قوی تر، برای مثال پلی آمیدها و پلی استرها، در وزن های مولکولی پایین، به استحکام مناسب می رسند. این رسیدن خیلی زودتر از پلیمرهایی است که دارای نیروهای بین مولکولی ضعیف تر (مانند پلی اتیلن) هستند.
مقدمه ای بر مفاهیم پلیمریزاسیون (3)
خواص به غیر از استحکام همچنین یک وابستگی قابل توجه به وزن مولکولی دارد. به هر حال، بیشتر خواص وابستگی کمی متفاوتی به وزن مولکولی دارند. خواص پلیمری مختلف معمولاً در وزن های مولکولی مختلف، به میزان بهینه ی خود می رسد. علاوه بر این، یک تعداد اندک از خواص نیز ممکن است با افزایش وزن مولکولی به یک مقدار ماکزیمم برسند و سپس با افزایش بیشتر وزن مولکولی، کاهش یابند. یک مثال از این خواص، قابلیت فرآور ماده ی پلیمری و تبدیل شدن آن به قطعات پلیمری می باشد. قابلیت فرآوری وقتی وزن مولکولی از میزان ویسکوزیته اندکی بالاتر می رود، افت می کند. در واقع با افزایش وزن مولکولی در این حالت، ذوب شدن و جاری شدن پلیمر، سخت می شود. بنابراین، جنبه ی عملی مربوط به پلیمریزاسیون، نیازمند انجام فریند مناسبی است که بدین صورت، یک وزن مولکولی مناسب و بر طبق خواص مورد نیاز، ایجاد شود. سنتز بالاترین وزن مولکولی همواره ضروری نیست. به جای آن، اغلب باید وزن مولکولی ایجاد شود که بالا و مطابق با خواص مد نظر باشد و بتواند با فرایند شکل دهی بعدی، تطابق داشته باشد. کنترل وزن مولکولی برای کاربرد عملی فرایند پلیمریزاسیون، ضروری است.
وقتی در مورد وزن مولکولی یک پلیمر صحبت می شود، مفهوم، با مفهوم مورد استفاده برای ترکیبات با اندازه ی کوچک، کاملاً متفاوت است. یک تفاوت قابل توجه در بین پلیمرها و ترکیبات کوچک وجود دارد. این تفاوت، این است که پلیمرها دارای وزن مولکولی غیر همگن و پراکنده ای هستند. حتی اگر پلیمر بدون هیچ آلودگی و یا ناخالصی، سنتز شود، هنوز هم این مسئله مشاهده می شود. در خالص ترین شکل، یک پلیمر، هنوز هم مخلوطی از مولکول ها با وزن مولکولی مختلف می باشد. دلیل این موضوع، در واقع تغییر آماری طول پلیمرهاست که در طی فرایند پلیمریزاسیون، ایجاد شده است. وقتی ما در مورد وزن مولکولی یک پلیمر، صحبت می کنیم، در حقیقت با یک متوسط وزن مولکولی، روبرو هستیم. اما وزن مولکولی متوسط و توزیع دقیق وزن های مولکولی در داخل یک پلیمر، نیازمند شناسایی کامل از پلیمر می باشد. کنترل وزن مولکولی و توزیع وزن مولکولی (MWD) اغلب بر روی خواص فیزیکی خاصی از محصول پلیمری، اثرگذار می باشد.
مقدمه ای بر مفاهیم پلیمریزاسیون (3)
روش های مختلفی بر اساس ویژگی های محلول سازی، برای تعیین وزن مولکولی متوسط یک نمونه ی پلیمری، استفاده می شود. این روش ها، عبارتند از: روش های بر پایه ی خواص کولیگاتیو، پراکنده سازی نور و ویسکوزیته. روش های مختلف مورد استفاده در اندازه گیری وزن مولکولی، به مقادیر وزن مولکولی یکسانی نمی رسند. در حقیقت با روش های مختلف، وزن های مولکولی مختلفی بدست می ایند زیرا خواص اندازه گیری شده، معمولاً تفاوت های بایاس مختلفی دارند. برخی از روش ها، بایاسی به سمت مولکول های پلیمری با اندازه ی بزرگ دارند، در حالی که روش های دیگر، بیشتر بر روی مولکول های با اندازه ی کوچک تر، تمرکز دارند. نتیجه، این است که وزن های مولکولی متوسط بدست آمده، برخی اوقات، به سمت مولکول های بزرگ تر یا کوچک تر، حرکت می کند. متوسط وزن مولکولی، به شیوه ی زیر بدست می آید:
وزن مولکولی متوسط- عددی (M ̅_n): این وزن مولکولی در واقع بوسیله ی روش های تجربی محاسبه می شود که در آنها تعداد مولکول های پلیمری موجود در نمونه، اندازه گیری می شود. روش های مورد استفاده در اندازه گیری وزن مولکولی متوسط عددی آن دسته از روش هایی است که خواص کالیگاتیو محلول را اندازه گیری می کنند. این روش ها عبارتند از روش کاهش فشار بخار (اسمومتری فشار بخار)، روش کاهش نقطه ی انجماد (cryoscopy)، روش افزایش نقطه ی جوش (ebulliometry) و روش اندازه گیری فشار اسمزی (اسمومتری غشایی) می باشند. خواص کالیگوتیو پلیمرها، مشابه خواص کالیگوتیو مربوط به مولکول های کوچک است. این مسئله وقتی صدق می کند که محلول هایی با میزان غلظت های مولال مناسب و یکسان، تهیه شود. برای مثال، یک محلول یک مولال از یک پلیمر، با وزن مولکولی 100000 دارای فشار بخار، نقطه ی انجماد، نقطه ی جوش و فشار اسمزی مشابه با محلول یک مولال از یک پلیمر با وزن مولکولی 1000 و یا یک محلول یک مولال از یک ماده ی با وزن مولکولی پایین مانند هگزان، است. در اینجا، M ̅_n به عنوان وزن کل مربوط به تمام مولکول های موجود در نمونه ی پلیمری، تقسیم بر تعداد کل مول های پلیمر موجود در محلول، تعریف می شود. فرمول این وزن مولکولی به صورت زیر است:
مقدمه ای بر مفاهیم پلیمریزاسیون (3)
که مجموع کل اندازه های مختلف مولکول های پلیمری، در اینجا، از x=1 تا x=∞ تغییر می کند و N_x در حقیقت تعداد مول مربوط به وزن M_x است. معادله ی بالا، می توان به صورت زیر نیز بازنویسی شود:
مقدمه ای بر مفاهیم پلیمریزاسیون (3)
که در اینجا، ▁(N_x ) کسر مولی مولکول های با اندازه ی M_x می باشد. روش های متداول در اندازه گیری M ̅_n عبارتند از روش اسمز غشایی و اسمومتری فشار بخاری است زیرا این روش، یک ابزار تجاری مناسب برای اندازه گیری است. اسمومتری فشار بخار نیز وجود دارد که در آن، فشار بخار را به طور غیرمستقیم اندازه گیری می شود. این کار با اندازه گیری تغییر در دمای حل شدن پلیمر بوسیله ی بخار حلال انجام می شود. این روش برای اندازه گیری M ̅_n زیر 10000 تا 15000 مناسب می باشد. در بالاتر از این حد وزن مولکولی، مقادیر اندازه گیری شده، به اندازه ای کوچک است که تشخیص تغییرات آنها با ابزارهای موجود، قابل انجام نیست. اوسمز غشایی در واقع محدود به پلیمرهایی است که M ̅_n آنها بالاتر از 20000 تا 30000 و کمتر از 500000 است. حد پایین تر نتیجه ای از نفوذپذیری جزئی غشاهای موجود و مولکول های پلیمری با اندازه ی کوچک تر است. در بالای وزن مولکولی های 500000، فشار اسمزی یک محلول پلیمری، بسیار کوچک می شود و از این رو، اندازه گیری دقیق آن سخت می شود. تجزیه و تحلیل گروه های انتهایی نیز برای اندازه گیری M ̅_n پلیمرهای خاص، مفید می باشد. برای مثال، گروه های انتهایی کربوکسیل یک استر می توانند با تیتراسیون اندازه گیری شوند. این کار از طریق H NMR انجام می شود. تجزیه و تحلیل گروه های انتهایی برای پلیمرهایی سخت است که مقادیر M ̅_n آنها بالاتر از گستره ی 20000 تا 30000 است.
تفرق نوری بوسیله ی محلول های پلیمری، برخلاف خواص کولیگاتیو، برای پلیمرای با اندازه ی بزرگتر، بیشتر از پلیمرهای با اندازه ی مولکولی کوچک تر است. وزن مولکولی متوسط در این حالت، از اندازه گیری تفرق نوری با نماد M ̅_w بیان و به صورت زیر تعریف می شود:
مقدمه ای بر مفاهیم پلیمریزاسیون (3)
که در اینجا، w_x کسر وزنی مربوط به مولکول هایی است که وزن آنها M_x می باشد. M ̅_w می تواند به صورت زیر تعریف شود:
مقدمه ای بر مفاهیم پلیمریزاسیون (3)
که در اینجا، c_x غلظت وزنی مولکول های M_x، c غلظت وزنی کل مربوط به تمام مولکول های پلیمری می باشد و از فرمول های زیر بدست می آیند:
مقدمه ای بر مفاهیم پلیمریزاسیون (3)
از انجایی که میزان نور تفرق یافته بوسیله ی یک محلول پلیمری با افزایش وزن مولکولی، افزایش می یابد، این روش برای پلیمرهای با وز مولکولی بالاتر، دقیق تر است. هیچ حد بالایی برای اندازه گیری با این روش، وجود ندارد به جز آنکه برخی از پلیمرها، قابلیت حل در حلال را ندارند. حد پایین مربوط به M ̅_w در روش تفرق نوری، در نزدیکی گستره ی 5000 تا 10000 است. در زیر این حد از وزن مولکولی، میزان تفرق نور به حدی کوچک است که نمی توان اندازه گیری دقیقی از این ویژگی داشت.
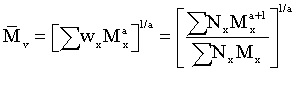
روش ویسکوزیته ی محلول: این روش نیز یک روش مفید برای اندازه گیری وزن مولکولی است. در حقیقت، ویسکوزیته مشابه با تفرق نوری، برای مولکول های با وزن مولکولی بالاتر، بیشتر از مولکول های با وزن مولکولی پایین است. به هر حال، ویسکوزیته ی محلول، یک میزان از M ̅_w نمی باشد زیرا وابستگی دقیق ویسکوزیته ی محلول به وزن مولکولی، دقیقا مشابه چیزی نیست که در مورد تفرق نور، مشاهده می شود. ویسکوزیته ی محلول با وزن مولکولی M ̅_v نمایش داده می شود و به صورت زیر تعریف می شود:
مقدمه ای بر مفاهیم پلیمریزاسیون (3)
که در اینجا، a یک ثابت است. ویسکوزیته و متوسط وزن های مولکولی در زمانی برابر است که a مساوی یک باشد. M ̅_v برای بیشتر پلیمرها کمتر از M ̅_w است زیرا a معمولا در گستره ی 0.5 تا 0.9 است. به هر حال، M ̅_v به M ̅_w نزدیک تر است تا M ̅_n و معمولا، تفاوت آنها در 20 % است. میزان a به حجم هیدرودینامیکی پلیمر، حجم مولکول پلیمر در محلول، نوع پلیمر، دما و حلال، وابسته می باشد.
استفاده از مطالب این مقاله، با ذکر منبع راسخون، بلامانع می باشد.
منبع مقاله :
Principles of polymerization / George Odian/ fourth edition
 
 


مقالات مرتبط
ارسال نظر
با تشکر، نظر شما پس از بررسی و تایید در سایت قرار خواهد گرفت.
متاسفانه در برقراری ارتباط خطایی رخ داده. لطفاً دوباره تلاش کنید.
مقالات مرتبط