نویسنده: احمد سلیم سعیدان
مترجم: احمد بیرشک
مترجم: احمد بیرشک
(شکوفایی: قرن هشتم/ چهاردهم، دمشق)
اموی عربی اسپانیایی بود که در دمشق می زیست و حساب تدریس می کرد. تنها مرجعی که از سال وفات او یاد می کند حاجی خلیفه است که آن را در 1490- 1489/895 می داند و دیگران هم در این باره از او پیروی کرده اند. اما در حاشیه ای که خودش در برگ نهم کتاب حسابش (جارالله، نسخه خطی
) نوشته و به ناسخ اجازه تدریس آن را داده است. تاریخ هفدهم ذیحجه 9/774 ژوئن 1373 آمده است. ناسخ عبدالقادر بن محمد بن عبدالقادر حنبلی مَقدِسی است. وی می نویسد که استنساخ را در هشتم ذیحجه 774، در جیل قاسیون دمشق به پایان رسانیده است.کتاب مورد بحث مراسم الانتساب فی علم [یا معالم] الحساب است. اهمیت این کتاب کوچک هجده برگی در این است که آن را یک مسلمان مغربی برای مشرقیان نوشته است؛ و این مورد نباید در اعتبار این عقیده عمومی که حساب در بخش شرقی اسلام شکوفاتر از بخش غربی آن بوده است خللی وارد آورد. کتاب نماینده روندی در حساب اسلامی است که از خیلی پیش، یعنی از قرن چهاردهم/، محاسبه با «تخت و تراب» هندی را داشت دگرگون می کرد تا برای استفاده از کاغذ و مرکب مناسب شود، و حساب به مفاهیمی از حساب انگشتی سنتی تا نظریه فیثاغورسی اعداد آراسته و غنی می شد. این روند ظاهراً در دمشق آغاز شد و اولین کتاب موجودی که آن را نشان می دهد کتاب الفصول فی حساب الهند اقلیدسی است که به سال 953-952/341 نوشته شده است. اما قراینی در دست است که این روند در بخش غربی اسلام نفوذ بیشتری داشته است تا در بخش شرقی.
شکل ارقامی که درغرب به کار می رفته با شکل ارقام شرقی فرق داشته است. اما اموی از به کار بردن ارقام، جز در جدولی از دنباله ها که در آن صورتهای غربی پدیدار شده، خودداری کرده است. تلاش برای تغییر دادن طرحهای هندی منتج به چند روش شد، بخصوص روش ضرب. اما اموی درباره این روشها خاموش می ماند و اعمال عمده را به اختصار وصف می کند، چنان که گویی قصدش این است که آنچه از حساب غربی را که در شرق شناخته نیست، یا کمتر شناخته است، نشان دهد. مثلاً اصرار می ورزد که کسر متعارفی به صورت
نوشته شود، در حالی که شرقیان همچنان آن را به صورت
، مانند هندیان، یا به صورت
می نوشتند.همچنین اصرار دارد که اعدادی که با آنها عمل می شود، مثلاً در ضرب، با کشیدن خطی در زیر آنها از مراحل عمل جدا شوند. این خطها درکارهای ابن بنای مراکشی (وفات:1321/721) دیده می شود، اما تا اواخر قرون میانه از آنها در شرق اثری نیست.
اموی، مانند مؤلفان قدیمی هندی، در موقع پرداختن به جمع، در اعمال به کلماتی چند بسنده می کند و بعد به جمع بندی دنباله ها می پردازد. دنباله هایی که درباره شان بحث می کند بدین قرار است:
1. تصاعد حسابی به طور کلی، و مجموع عددهای طبیعی و عددهای طبیعی زوج و عددهای طبیعی فرد بخصوص؛
2. تصاعد هندسی به طور کلی و
و
به نحو اخص؛3. دنباله ها و رشته های عددهای چند ضلعی، یعنی
و
4. دنباله ها و رشته های عددهای هرمی، یعنی
و
5. جمع بندی
و
6. جمع بندی r(r+1), (2r+1)(2r+3), و 2r(2r+2) از r=1 تا r=n.
دنباله های عددهای چند ضلعی و هرمی در ترجمه ای که ثابت بن قره از مقدمه بر حساب نیکوماخوس کرده بود به مسلمانان انتقال یافته بود؛ و نیز کرجی در کتاب الفخری اثبات هندسی
و
,
را آورده بود. (ر. ک. T. Health, Manual of Greek Mathematics [Oxford, 1931], 68).اموی غالباً مجموع ده جمله را، بی استفاده از علائم، به عنوان مثال پیدا می کند. این عمل را بابلیان ابداع کرده بودند و دیوفانتوس و مؤلفان مسلمان آن را اقتباس نمودند.
اموی در تفریق، طرح 7 به 7, و 8 به 8 و 9 به 9، و 11 به 11 را در نظر می گیرد. همه کتابهای حساب هندی عربی طرح 9 به 9 را در نظر می گیرند؛ و بعضی طرح عددهای دیگر را اضافه می کنند. بعضی هم به طرح 11 به 11 به طریقی که امروز برای قابلیت تقسیم عملی می شود، و به پیر فوکادل (1) (1556) منسوب است، می پردازند، اموی طرح 7به 7 و 8 به 8 را به طریقی علاوه می کند که مستقیماً به قاعده کلی زیر رهنمون می شود:
عدد دلبخواه N را در مقیاس دهدهی در نظر بگیرید. واضح است که

مقصود یافتن باقیمانده است پس از برداشتن Pها از N، که در آن P عدد صحیحی است دلبخواه. فرض کنید که
باقیمانده
باشد، یعنی
نتیجه این می شود که هر گاه
بر P قابل قسمت باشد N نیز چنین است. این قضیه به بلزپاسکال (1664) نسبت داده می شود. (ر. ک. L. E. Dickson, History of the Theory of Numbers, I (New York, 1952), p. 337).اموی در کتاب خود می گوید که، در حالتهایی که مورد نظر او است؛ دنباله r_s متناهی است و تکرار می شود. مثلاً برای
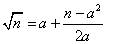
اموی، وقتی که به جذر و کعب می پردازد برای تخمین قاعده هایی به دست می دهد که به اندازه قاعده های حسابدانان شرق مبسوط نیست. حسابدانان اخیر، این قاعده ها را پیش از وی وضع کرده بودند:
که در آن a بزرگترین عدد صحیحی است که مجذورش از n کوچکتر است، و

که در آن a بزرگترین عدد صحیحی است که مکعبش از n کوچکتر است. این قاعده ها در کتاب اموی دیده نمی شود. به جای آن چنین می بینیم:
یا
یا
دیگر آنکه اموی روش استخراج ریشه های مرتبه های بالاتر را، که در شرق از قرن پنجم/ یازدهم شناخته بود، در نظر نمی گیرد.
اما برای یافتن مجذور و مکعب کامل قواعد زیرین را، که در کتاب دیگری دیده نشده است، به دست می دهد.
الف) هر گاه n مربع کامل باشد:
1. باید به تعدادی جفت صفر یا به عددهای 1، 4، 5، 6، 9 ختم شده باشد؛
2. اگر رقم یکان 6 باشد رقم دهگان باید فرد باشد، و در حالتهای دیگر زوج است؛
3. اگر رقم یکان 1 باشد رقم صدگان و نصف رقم یکان باید هر دو فرد یا هر دو زوج باشند؛
4. اگر رقم یکان 5 باشد رقم دهگان 2 است؛
5. n=0, 1, 2, 4(mod 7)
=0, 1, 4 (mod 8)
= 0, 1, 4, 7 (mod 9).
ب) هر گاه n مکعب کامل باشد:
1، اگر به 0، 1، 4، 5، 6، 9 ختم شود کعب آن به ترتیب 0، 1، 4، 5، 6، 9 ختم می شود؛ و اگر عدد به 3، 7، 2، 8 مختوم گردد کعب آن به ترتیب به 7، 3، 8، 2 منتهی می شود؛
2 .



بی تردید مراسم الانتساب فی علم [معالم] الحساب اموی شایسته توجه محققان است، بخصوص در ارتباط با تاریخ آغاز نظریه ی اعداد.
کار دیگری از همین مؤلف با نشانه 5174 ح در اسکندریه محفوظ است به نام رفع الاِشکال فی مساحه الاَشکال؛ رساله کوچک هفده برگی ای است که در آن چیزی مربوط به محاسبه که بر حسابدانان شرق پوشیده بوده باشد وجود ندارد.
کتابشناسی:
درباره اموی و آثارش ر. ک.
C. Brockelmann, Geschichte der arabischen(literatur, supp. 2(Leiden, 1938),p. 372. and II(Leiden, 1949), p. 844; L. E. Dickson, History of the Theory of Numbers, 3 vols. (New York, 1952);
حاجی خلیفه، کشف الظنون، 2 جلد(استانبول، 1941)؛ نیکوماخوس، المدخل الی علم العدد، ترجمه ثابت بن قره، ویراسته و. کوچ. (بیروت، 1958)؛
T. L. Heath , A History of Greek Mathematics, 2 vols. (Oxford, 1921); Ibn al -Nadim, Al - Fihrist (Cario); and H. Suter, Die Mathematker und Astronomen der Araber und ihre Werke (Leipzig, 1950). no 453, p. 187.
منبع مقاله :
گیلسپی، چارلز کولستون؛ (1389)، زندگینامهی علمی دانشمندان اسلامی (جلد نخست)، ترجمهی جمعی از مترجمان، تهران، شرکت انتشارات علمی و فرهنگی، چاپ چهارم.